언양

  • 지리
  • 지명
울산광역시 울주군 언양읍 지역의 옛 지명.
이칭
  • 이칭거지화현(居知火縣), 헌양현(巚陽縣)
지명/고지명
  • 제정 시기1143년 이후
  • 지역울산광역시 울주군 언양읍
집필 및 수정
  • 집필 1995년
  • 최종수정 2026년 05월 12일
대동여지도 / 양산, 기장, 언양 미디어 정보

대동여지도 / 양산, 기장, 언양

본 항목의 내용은 해당 분야 전문가의 추천으로 선정된 집필자의 학술적 견해로, 한국학중앙연구원의 공식 입장과 다를 수 있습니다.

정의

울산광역시 울주군 언양읍 지역의 옛 지명.

내용

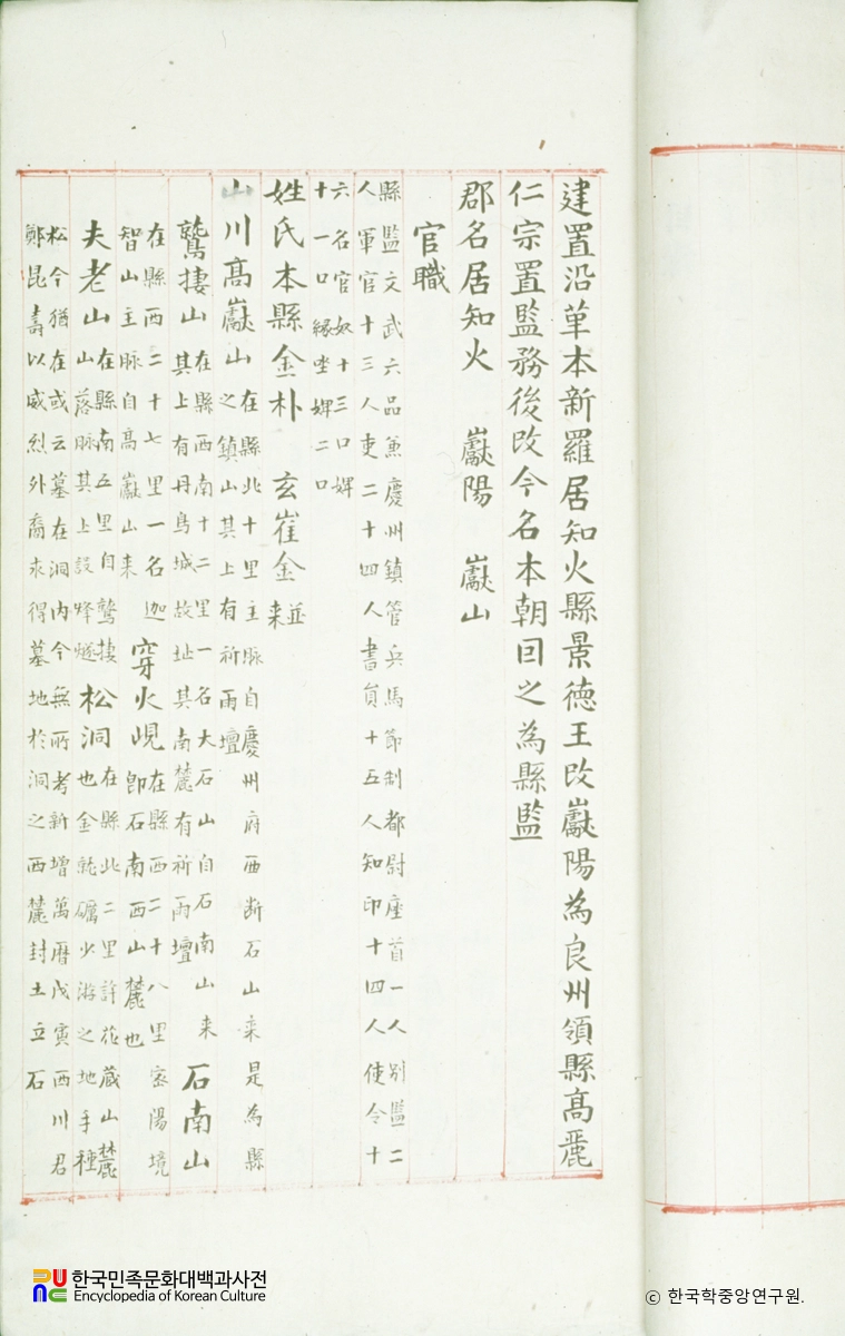
본래 신라의 거지화현(居知火縣)이었는데, 757년(경덕왕 16) 헌양현(巚陽縣)으로 고치고 양주군(良州郡)의 영현으로 하였다. 1018년(현종 9) 울주의 속현이 되었다가 1143년(인종 21) 감무를 두었으며, 그 뒤 지금의 이름인 언양으로 고쳤다.

1413년(태종 13) 감무를 현감으로 하였으나, 1599년(선조 32) 울산에 병합되었다가 1612년(광해군 4) 다시 현감을 두었다. 1895년(고종 32) 동래부 소속의 언양군이 되었다가 다음해에 경상남도에 속하였으며, 1914년 행정구역 개편 때 울산군에 병합되었다.

1962년 울산읍이 시로 승격되면서 울주군 언양면이 되고, 1991년 울산군에, 1995년 울산군과 울산시가 통합된 새로운 울산시에, 1997년 7월에는 울산광역시에 소속되었다.

언양의 지명유래는 이곳이 항상 양지바른 곳이라는 데서 나온 것이라 한다. 신라 때는 이곳이 경주를 방어하는 남부의 외곽지대로 취서산(鷲棲山)에는 옛 성이 있었고, 북쪽의 은현(隱峴)이나 진고개〔進峴〕는 경주의 방어선 구실을 하였다.

조선시대에는 부로산(夫老山) 봉수가 양산군의 원적산(圓寂山), 경주의 소산(所山) 봉수에 연결되었다. 지형상으로는 대화강(大和江: 지금의 太和江)의 지류인 남천(南川) 유역에 발달한 산간분지로 주위에 언불산(焉弗山)ㆍ정족산(鼎足山)ㆍ고암산(高巖山)ㆍ화장산(華藏山) 등에 둘러싸여 있다.

조선시대에는 경주ㆍ밀양ㆍ울산ㆍ자인ㆍ양산 등지와 연결되는 도로가 발달하였다. 고려 말에는 왜구가 여러 번 침입하여 주민들에게 많은 피해를 주었다.

참고문헌

  • - 『삼국사기(三國史記)』

  • - 『고려사(高麗史)』

  • - 『경상도지리지(慶尙道地理志)』

  • - 『세종실록지리지(世宗實錄地理志)』

  • - 『한국지명요람(韓國地名要覽)』(건설부국립지리원, 1982)

본 항목의 내용은 해당 분야 전문가의 추천으로 선정된 집필자의 학술적 견해로, 한국학중앙연구원의 공식 입장과 다를 수 있습니다.

  • 사실과 다른 내용, 주관적 서술 문제 등이 제기된 경우 사실 확인 및 보완 등을 위해 해당 항목 서비스가 임시 중단될 수 있습니다.
  • 한국민족문화대백과사전은 공공저작물로서 공공누리 제도에 따라 이용 가능합니다.
  • 백과사전 내용 중 글을 인용하고자 할 때는 '[출처 : 항목명 - 한국민족문화대백과사전]'과 같이 출처 표기를 하여야 합니다.
  • 미디어 자료는 자유 이용 가능한 자료에 개별적으로 공공누리 표시를 부착하고 있으므로 이를 확인하신 후 이용하시기 바랍니다.
콘텐츠 이용 안내

콘텐츠 수정 요청

필수 입력 항목입니다.

주제
0 / 500자
근거 자료
첨부된 파일이 없습니다
파일선택

최대 5개, 전체 용량 30Mb 첨부 가능

작성 완료되었습니다.

작성글 확인

다운로드가 완료되었습니다.

다운로드할 미디어를 선택해주세요.

모든 필수 항목을 입력해주세요.

다운로드할 미디어가 선택되지 않았습니다.

다운로드 중 오류가 발생했습니다.

미디어 다운로드

  • 이용 목적을 상세히 작성하여 주세요.
    서비스 개선에 반영하도록 하겠습니다.

출처 표기 : [사진명] 한국민족문화대백과사전

필수 입력 항목입니다.

이용목적