웅천

  • 지리
  • 지명
경상남도 진해 지역의 옛 지명.
이칭
  • 이칭웅신(熊神), 웅지현(熊只縣)
집필 및 수정
  • 집필 1995년
  • 최종수정 2023년 02월 07일
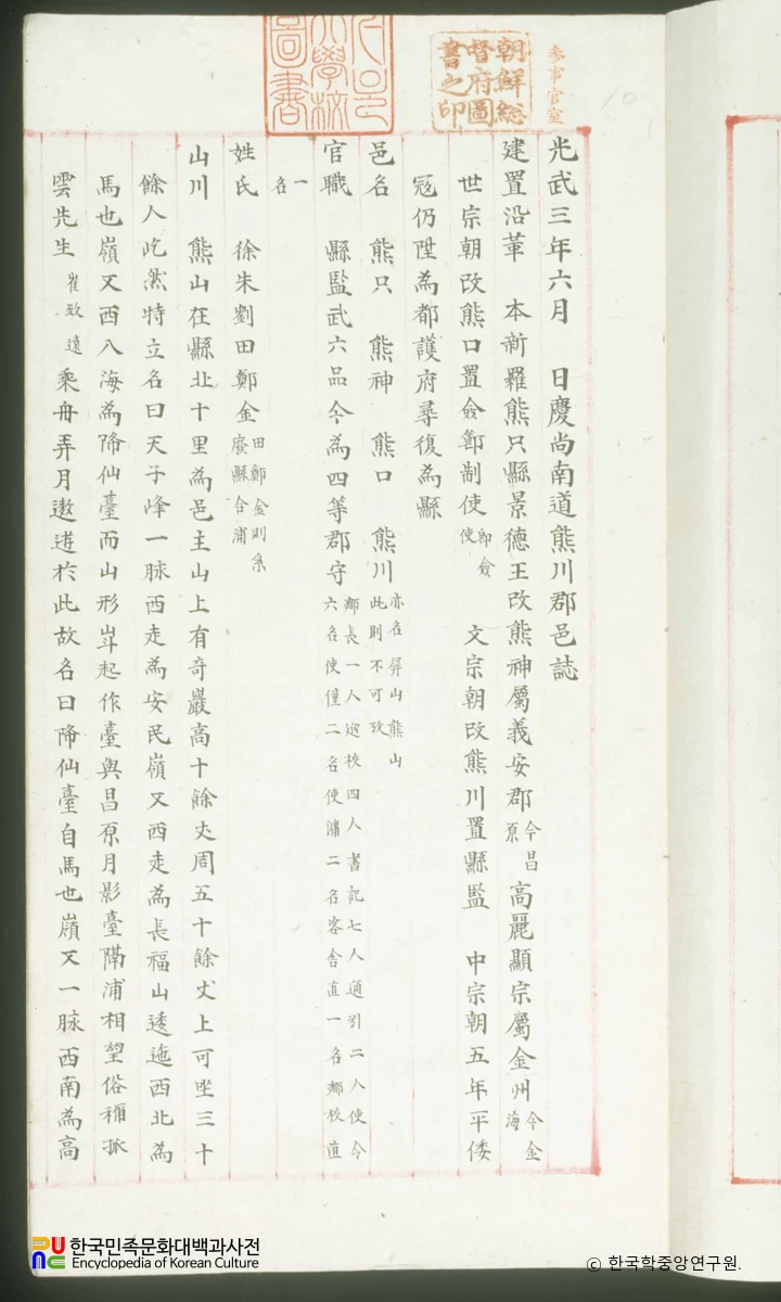
웅천군읍지 미디어 정보

웅천군읍지

본 항목의 내용은 해당 분야 전문가의 추천으로 선정된 집필자의 학술적 견해로, 한국학중앙연구원의 공식 입장과 다를 수 있습니다.

정의

경상남도 진해 지역의 옛 지명.

내용

본래 신라의 웅지현(熊只縣)이었는데, 경덕왕 때 웅신(熊神)이라 고쳐 의안군(義安郡: 지금의 창원시)의 영현으로 삼았다. 1018년(현종 9) 금주(金州: 지금의 김해)에 예속시켰다.

조선 세종 때 첨절제사(僉節制使)를 두었고, 문종 때 웅천으로 고쳐 현감을 두었다. 1510년(중종 5) 왜구를 평정하였다고 하여 도호부로 승격되었으나 뒤에 현으로 복구되었다.

1895년(고종 32) 진주 관할의 웅천군이 되었고, 다음해에 경상남도에 속하였으며, 1914년 행정구역 개편 때 창원군 웅천면이 되었다.

옛 이름 웅지는 ‘군(君)ㆍ상(上)ㆍ신(神)’의 뜻을 가지므로, 옛날에 군주가 다스렸던 지역을 의미한다. 웅은 신성하다는 뜻도 가지고 있다. 남해안 지방의 요충지로 발달한 지역이다. 지금의 웅천동 지역으로 추정된다.

참고문헌

  • - 『경상도지리지(慶尙道地理志)』

  • - 『신증동국여지승람(新增東國輿地勝覽)』

  • - 『여지도서(輿地圖書)』

본 항목의 내용은 해당 분야 전문가의 추천으로 선정된 집필자의 학술적 견해로, 한국학중앙연구원의 공식 입장과 다를 수 있습니다.

  • 사실과 다른 내용, 주관적 서술 문제 등이 제기된 경우 사실 확인 및 보완 등을 위해 해당 항목 서비스가 임시 중단될 수 있습니다.
  • 한국민족문화대백과사전은 공공저작물로서 공공누리 제도에 따라 이용 가능합니다.
  • 백과사전 내용 중 글을 인용하고자 할 때는 '[출처 : 항목명 - 한국민족문화대백과사전]'과 같이 출처 표기를 하여야 합니다.
  • 미디어 자료는 자유 이용 가능한 자료에 개별적으로 공공누리 표시를 부착하고 있으므로 이를 확인하신 후 이용하시기 바랍니다.
콘텐츠 이용 안내

콘텐츠 수정 요청

필수 입력 항목입니다.

주제
0 / 500자
근거 자료
첨부된 파일이 없습니다
파일선택

최대 5개, 전체 용량 30Mb 첨부 가능

작성 완료되었습니다.

작성글 확인

다운로드가 완료되었습니다.

다운로드할 미디어를 선택해주세요.

모든 필수 항목을 입력해주세요.

다운로드할 미디어가 선택되지 않았습니다.

다운로드 중 오류가 발생했습니다.

미디어 다운로드

  • 이용 목적을 상세히 작성하여 주세요.
    서비스 개선에 반영하도록 하겠습니다.

출처 표기 : [사진명] 한국민족문화대백과사전

필수 입력 항목입니다.

이용목적