계암문집

  • 종교·철학
  • 문헌
  • 일제강점기
조선 후기의 학자, 정득건의 시가와 산문을 엮어 1930년에 간행한 시문집.
집필 및 수정
  • 집필 1995년
  • 윤혁동 (성균관, 한학)
  • 최종수정 2023년 02월 07일
계암문집 미디어 정보

계암문집

본 항목의 내용은 해당 분야 전문가의 추천으로 선정된 집필자의 학술적 견해로, 한국학중앙연구원의 공식 입장과 다를 수 있습니다.

정의

조선 후기의 학자, 정득건의 시가와 산문을 엮어 1930년에 간행한 시문집.

편찬/발간 경위

1930년 정득건의 문인 임대훈(林大塤) 등이 편집·간행했는데, 권두에 김두운(金斗運)의 서문과 권말에 김효연(金孝淵)·정원옥(鄭元玉) 등의 발문 2편이 있다.

서지적 사항

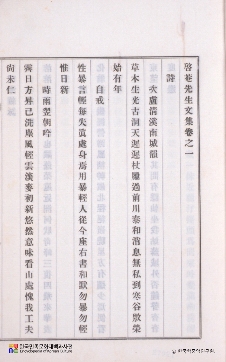
4권 1책. 석판본. 국립중앙도서관에 있다.

내용

권1에 시 49수, 권2에 서(書) 29편, 권3에 설(說) 18편, 권4에 서(序) 2편, 기(記) 2편, 잡저 2편, 부록으로 전(傳) 1편 등이 수록되어 있다.

시는 시상이 풍부하고 표현 기교가 뛰어난데, 특히 「화유(花遊)」는 서정성이 두드러져 있다. 서(書) 가운데 「상운암박선생(上雲庵朴先生)」에는 스승 박문일(朴文一)에게 관례(冠禮)의 절차에 관해 문의한 내용이 있고, 「상족형성재(上族兄誠齋)」에서는 빨리 서재를 설립하고 강회를 열어서 김평묵(金平默)과 같은 학자를 모시고 강학(講學)을 받고 싶다는 희망을 피력하고 있다.

설 가운데 「경설(經說)」에는 선비가 항상 행해야 할 것들을 경서에서 발췌해 수록하고 있어, 정득건의 규범적인 면모를 엿볼 수 있다. 또한, 서(序)의 「가릉존도재학규서(嘉陵存導齋學規序)」에서는 오륜이 천하 고금에 통하는 가르침으로 수기치인(修己治人)의 도가 모두 이에 의하지 않으면 성취될 수 없는 것임을 강조하였다.

이는 공자(孔子)·증자(曾子)·자사(子思)·맹자(孟子)가 창도하고, 정자(程子)·주자(朱子)가 부흥했으며, 우리나라에 들어와서는 이황(李滉)·이이(李珥)·김장생(金長生)·송시열(宋時烈) 등으로 정맥(正脈)을 이어서 이항로를 통해 박내준에게 정전(正傳)된 것이니, 이 학규는 마치 주자가 만든 「백록동규(白鹿洞規)」와 같은 의의가 있다며, 자신이 도학 연원의 적통임을 주장하고 있다.

그밖에 「학계서(學契序)」에서도 오륜의 중요성을 강조하면서, 이를 선양하기 위해서는 학계(學契)를 만들고, 학사(學舍)를 설립해 교육에 힘써야 됨을 주장하였다.

본 항목의 내용은 해당 분야 전문가의 추천으로 선정된 집필자의 학술적 견해로, 한국학중앙연구원의 공식 입장과 다를 수 있습니다.

  • 사실과 다른 내용, 주관적 서술 문제 등이 제기된 경우 사실 확인 및 보완 등을 위해 해당 항목 서비스가 임시 중단될 수 있습니다.
  • 한국민족문화대백과사전은 공공저작물로서 공공누리 제도에 따라 이용 가능합니다.
  • 백과사전 내용 중 글을 인용하고자 할 때는 '[출처 : 항목명 - 한국민족문화대백과사전]'과 같이 출처 표기를 하여야 합니다.
  • 미디어 자료는 자유 이용 가능한 자료에 개별적으로 공공누리 표시를 부착하고 있으므로 이를 확인하신 후 이용하시기 바랍니다.
콘텐츠 이용 안내

콘텐츠 수정 요청

필수 입력 항목입니다.

주제
0 / 500자
근거 자료
첨부된 파일이 없습니다
파일선택

최대 5개, 전체 용량 30Mb 첨부 가능

작성 완료되었습니다.

작성글 확인

다운로드가 완료되었습니다.

다운로드할 미디어를 선택해주세요.

모든 필수 항목을 입력해주세요.

다운로드할 미디어가 선택되지 않았습니다.

다운로드 중 오류가 발생했습니다.

미디어 다운로드

  • 이용 목적을 상세히 작성하여 주세요.
    서비스 개선에 반영하도록 하겠습니다.

출처 표기 : [사진명] 한국민족문화대백과사전

필수 입력 항목입니다.

이용목적