"키워드 : 어휘집"
검색결과 총 4건
『조선관역어』는 15세기 말경 회동관의 통사들이 사용한 한·한대역 어휘집이다. 외국 사신을 접대하는 중국 관청인 회동관에서 통역관의 교육을 위해 만든 조선어 교재이다. 중국어와 인근 국가 언어의 대역 어휘집인 세 종류 『화이역어』 중 병종(丙種)에 속해 있다. 『화이역어』의 각 항목은 중국어 의미와 음역의 2단으로 구성되어 있다. 당시의 한국 한자음을 추가한 3단 구성은 이 어휘집에서만 보이는 특징이다. 이 어휘집의 국어 표기는 고어의 모습을 잘 보여주어 역사 언어학적 가치가 크다. 현재 런던대학본, 하노이본, 아와노쿠니분코본, 이나바 기미야마본, 미토쇼코칸본이 전한다.
조선관역어 (朝鮮館驛語)
『조선관역어』는 15세기 말경 회동관의 통사들이 사용한 한·한대역 어휘집이다. 외국 사신을 접대하는 중국 관청인 회동관에서 통역관의 교육을 위해 만든 조선어 교재이다. 중국어와 인근 국가 언어의 대역 어휘집인 세 종류 『화이역어』 중 병종(丙種)에 속해 있다. 『화이역어』의 각 항목은 중국어 의미와 음역의 2단으로 구성되어 있다. 당시의 한국 한자음을 추가한 3단 구성은 이 어휘집에서만 보이는 특징이다. 이 어휘집의 국어 표기는 고어의 모습을 잘 보여주어 역사 언어학적 가치가 크다. 현재 런던대학본, 하노이본, 아와노쿠니분코본, 이나바 기미야마본, 미토쇼코칸본이 전한다.
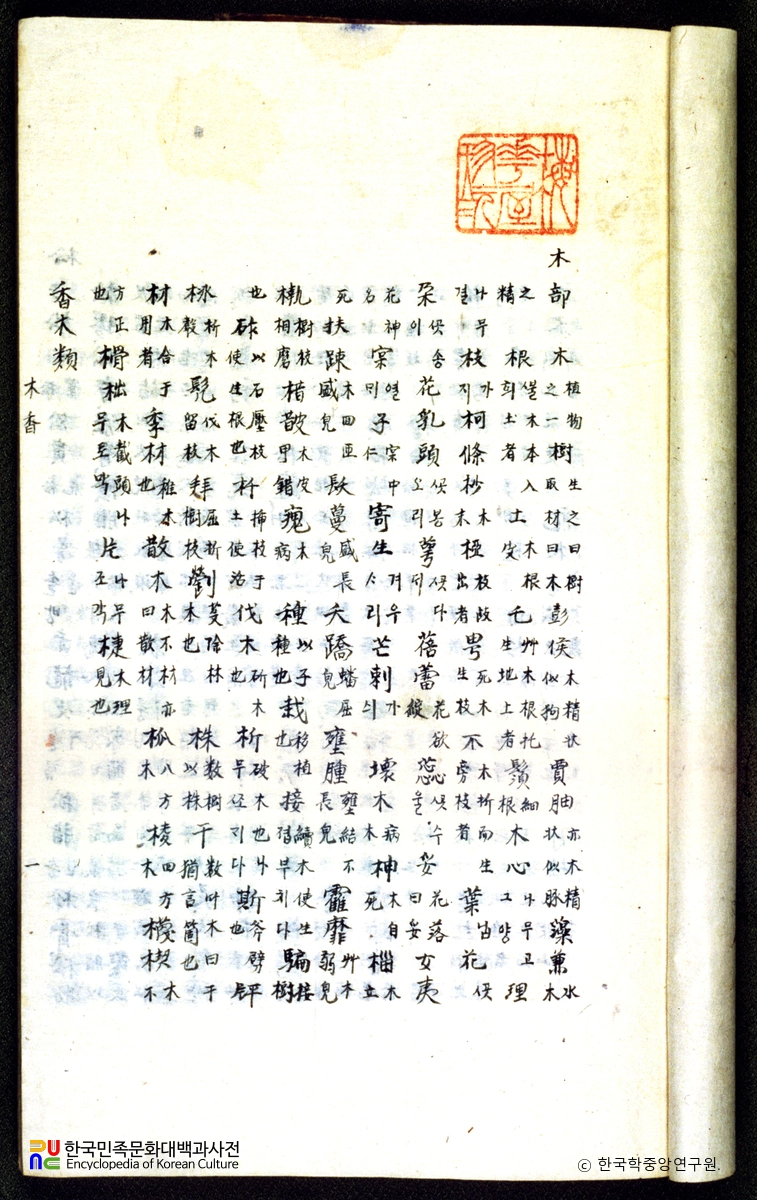
『광재물보』는 사물을 항목별로 분류하여 한글과 한문으로 설명한 어휘집이다. 1798년 간행된 『재물보』를 확대한 것으로 볼 때 그보다 후대에 나온 것으로 보인다. 4권 4책 필사본이다. 각 권은 천도부·예절부·화부 등 각각의 부를 세부 항목으로 나누어 사물 명칭을 풀이하였다. 세상만물을 자연세계, 인간세계, 사물의 세계로 분류하고 있다. 항목을 한글과 한문으로 풀이하고, 이칭과 별칭을 들었다. 대체로 20세기 초 국어 표기 원칙에 따르고 있는 듯하다. 방대한 어휘가 수록되어 당시의 언어 연구, 차용어 및 외래어 연구에 귀중한 자료가 된다.
광재물보 (廣才物譜)
『광재물보』는 사물을 항목별로 분류하여 한글과 한문으로 설명한 어휘집이다. 1798년 간행된 『재물보』를 확대한 것으로 볼 때 그보다 후대에 나온 것으로 보인다. 4권 4책 필사본이다. 각 권은 천도부·예절부·화부 등 각각의 부를 세부 항목으로 나누어 사물 명칭을 풀이하였다. 세상만물을 자연세계, 인간세계, 사물의 세계로 분류하고 있다. 항목을 한글과 한문으로 풀이하고, 이칭과 별칭을 들었다. 대체로 20세기 초 국어 표기 원칙에 따르고 있는 듯하다. 방대한 어휘가 수록되어 당시의 언어 연구, 차용어 및 외래어 연구에 귀중한 자료가 된다.
1835년 영국인 선교사 메드허스트가 『왜어유해』와 『천자문』을 번역해 편찬한, 서양인의 한국어 학습을 위한 어휘집.
조선위국자휘 (朝鮮偉國字彙)
1835년 영국인 선교사 메드허스트가 『왜어유해』와 『천자문』을 번역해 편찬한, 서양인의 한국어 학습을 위한 어휘집.
조선인 도공의 후예인 박이원(朴伊圓)이 『왜어유해』의 내용을 1837년에 필사한 어휘집이다. 이 책은 조선어 통사(通辭)의 학습 교재로 사용되었다. 상권 80장 하권 80장으로 되어 있으며, 일부 누락된 한자를 제외하고는 『왜어유해(倭語類解)』와 동일한 내용과 체제로 되어 있다. 그러나 이 책에서는 일본어 한자음을 별도로 표기하지 않았다. 상권에서는 ‘愚, 拙, 疿, 癜’ 등, 하권에서는 ‘種, 鉗, 鑢’ 등 다수의 한자가 누락되어 있다. 한자가 있는 경우에도 한자음이나 해당 일본어 단어의 표기가 빠진 경우가 있어 정교하지 못한 모습을 보인다.
화어유해 (和語類解)
조선인 도공의 후예인 박이원(朴伊圓)이 『왜어유해』의 내용을 1837년에 필사한 어휘집이다. 이 책은 조선어 통사(通辭)의 학습 교재로 사용되었다. 상권 80장 하권 80장으로 되어 있으며, 일부 누락된 한자를 제외하고는 『왜어유해(倭語類解)』와 동일한 내용과 체제로 되어 있다. 그러나 이 책에서는 일본어 한자음을 별도로 표기하지 않았다. 상권에서는 ‘愚, 拙, 疿, 癜’ 등, 하권에서는 ‘種, 鉗, 鑢’ 등 다수의 한자가 누락되어 있다. 한자가 있는 경우에도 한자음이나 해당 일본어 단어의 표기가 빠진 경우가 있어 정교하지 못한 모습을 보인다.