주서백선

  • 종교·철학
  • 문헌
  • 조선 후기
조선후기 제22대 왕 정조가 주희의 편지 중에서 가장 요긴한 내용 100편을 뽑아 1794년에 간행한 서간집.
집필 및 수정
  • 집필 1995년
  • 이순두 (한학자)
  • 최종수정 2023년 02월 07일
주서백선 미디어 정보

주서백선

본 항목의 내용은 해당 분야 전문가의 추천으로 선정된 집필자의 학술적 견해로, 한국학중앙연구원의 공식 입장과 다를 수 있습니다.

정의

조선후기 제22대 왕 정조가 주희의 편지 중에서 가장 요긴한 내용 100편을 뽑아 1794년에 간행한 서간집.

내용

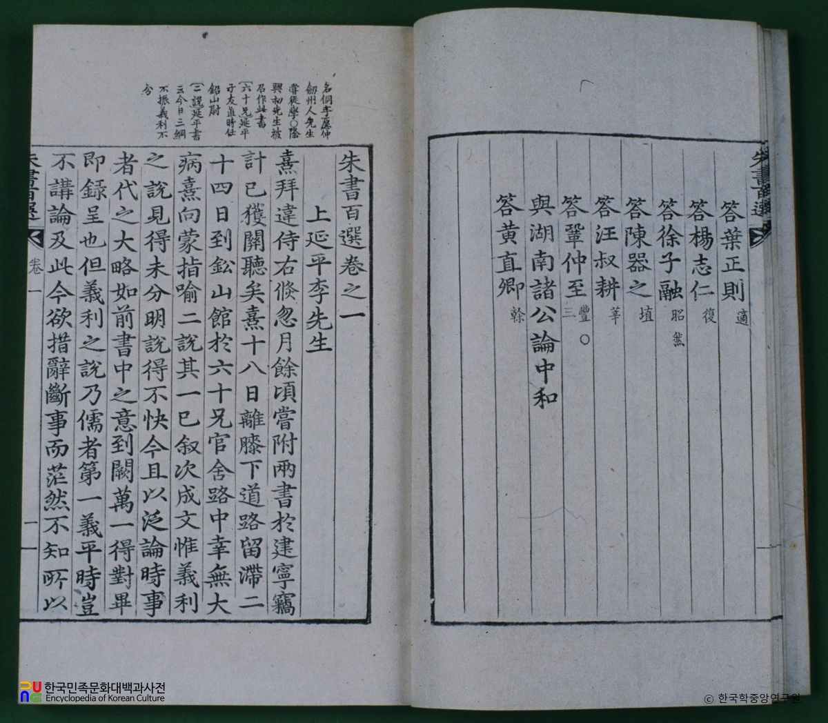
6권 3책. 활자본. 정조가 친히 편집하여 1794년(정조 18) 내각(內閣)에서 간행하였다. 규장각 도서 등에 있다.

권1에 9편, 권2에 13편, 권3에 6편, 권4에 16편, 권5에 14편, 권6에 16편 등이 수록되어 있다.

「상연평이선생(上延平李先生)」은 스승 이동(李侗)에게 올린 것으로 변론이나 실증에서 의리설(義理說)이야말로 유자(儒者)가 분명히 알아야 할 과제로, 편자의 의도하는 바를 엿볼 수 있다.

「여진시랑(與陳侍郎)」은 시정(時政)의 득실에 관하여 논한 글로 정책상 부조리의 원천적 봉쇄와 행정상의 본말을 밝혀 인정(仁政)의 기반을 마련하도록 하였다.

「여진승상(與陳丞相)」은 학문에 대한 미련 때문에 관직에 뜻이 없음을 밝히고, 의리에 대한 확신과 동심인성(動心忍性)의 기질적 변화가 있을 때에는 가르침을 받들겠다는 견해를 표명한 글이다.

주자의 서간을 모아 편집한 저술은 조선시대에 흔히 보이는 것으로, 같은 이름의 저술로는 이황(李滉)의 것도 있으며, 정조가 편한 것도 여러가지의 판본이 전한다.

본 항목의 내용은 해당 분야 전문가의 추천으로 선정된 집필자의 학술적 견해로, 한국학중앙연구원의 공식 입장과 다를 수 있습니다.

  • 사실과 다른 내용, 주관적 서술 문제 등이 제기된 경우 사실 확인 및 보완 등을 위해 해당 항목 서비스가 임시 중단될 수 있습니다.
  • 한국민족문화대백과사전은 공공저작물로서 공공누리 제도에 따라 이용 가능합니다.
  • 백과사전 내용 중 글을 인용하고자 할 때는 '[출처 : 항목명 - 한국민족문화대백과사전]'과 같이 출처 표기를 하여야 합니다.
  • 미디어 자료는 자유 이용 가능한 자료에 개별적으로 공공누리 표시를 부착하고 있으므로 이를 확인하신 후 이용하시기 바랍니다.
콘텐츠 이용 안내

콘텐츠 수정 요청

필수 입력 항목입니다.

주제
0 / 500자
근거 자료
첨부된 파일이 없습니다
파일선택

최대 5개, 전체 용량 30Mb 첨부 가능

작성 완료되었습니다.

작성글 확인

다운로드가 완료되었습니다.

다운로드할 미디어를 선택해주세요.

모든 필수 항목을 입력해주세요.

다운로드할 미디어가 선택되지 않았습니다.

다운로드 중 오류가 발생했습니다.

미디어 다운로드

  • 이용 목적을 상세히 작성하여 주세요.
    서비스 개선에 반영하도록 하겠습니다.

출처 표기 : [사진명] 한국민족문화대백과사전

필수 입력 항목입니다.

이용목적