한국역대소사

  • 역사
  • 문헌
  • 일제강점기
조선후기부터 일제강점기까지 생존한 학자 김택영이 고조선에서 조선시대까지를 서술하여 1922년에 간행한 역사서. 학술서.
집필 및 수정
  • 집필 1995년
  • 강진갑 (한양대학교, 한국사)
  • 최종수정 2023년 02월 07일

본 항목의 내용은 해당 분야 전문가의 추천으로 선정된 집필자의 학술적 견해로, 한국학중앙연구원의 공식 입장과 다를 수 있습니다.

정의

조선후기부터 일제강점기까지 생존한 학자 김택영이 고조선에서 조선시대까지를 서술하여 1922년에 간행한 역사서. 학술서.

내용

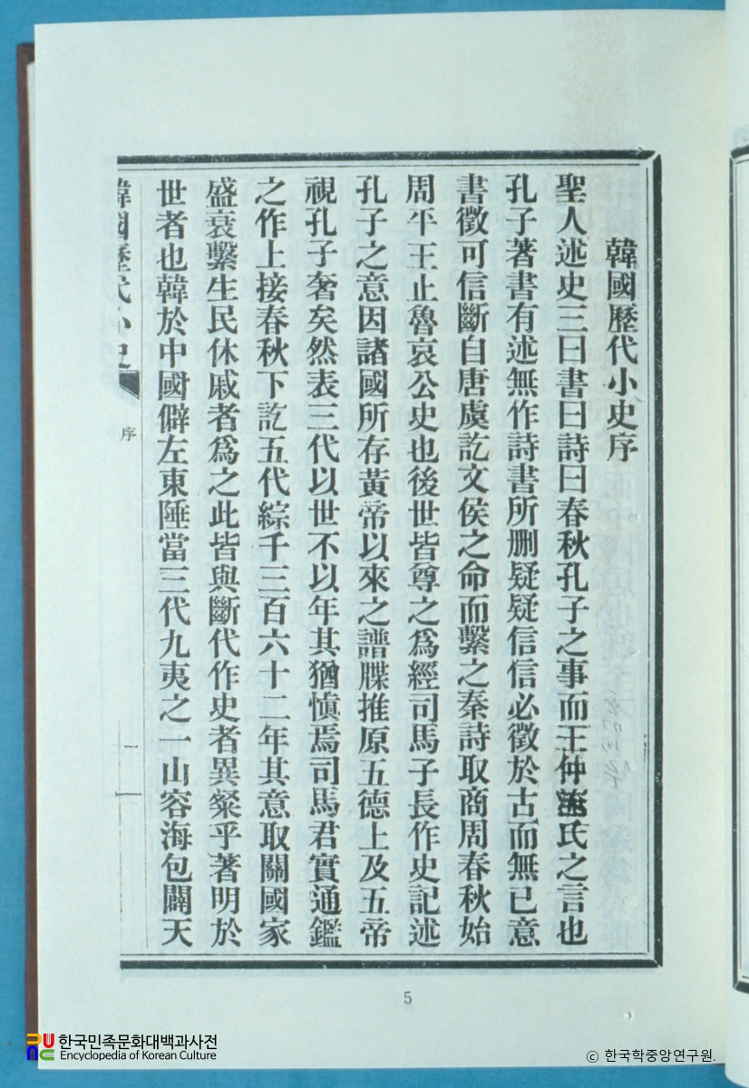
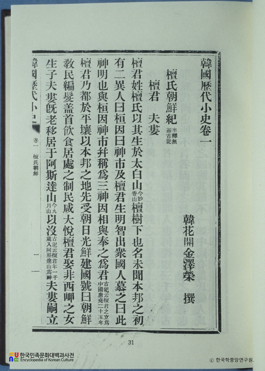
28권 9책. 순한문체. 1922년 중국 한묵림서국(翰墨林書局)에서 간행하였다. 한말 김택영이 편찬하고 학부(學部)에서 간행한, 단군부터 고려시대까지를 서술한 『역사집략(歷史輯略)』과, 역시 김택영 자신이 1918년 저술한 조선시대 역사서인 『한사경(韓史綮)』을 보충하여 간행한 편년체의 사서(史書)이다.

체재는 장건(張謇)의 서(序), 김택영의 원발(原跋), 그리고 범례인 예언(例言)·목차·본문 순으로 되어 있다. 본문은 제1권 단씨조선기(檀氏朝鮮紀), 제2권 기씨조선기(箕氏朝鮮紀), 제3권 기씨마한기(箕氏馬韓紀), 제4∼7권 삼국기(三國紀), 제8∼9권 신라기(新羅紀), 제10∼16권 고려기(高麗紀), 제17∼28권 한기(韓紀)로 구성되어 있다.

1∼3권에서는 고조선을 중심으로 한사군과 삼국시대 초까지를, 4∼7권에서는 삼국시대를, 8∼9권에서는 통일신라를 중심으로 발해와 후삼국을, 10∼16권에서는 고려를, 17∼28권에서는 조선시대를 다루고 있다. 아세아문화사(亞細亞文化社)에서 1978년 간행한 『김택영전집』 3·4권에 영인되어 있다.

참고문헌

  • - 『김택영전집』3·4(아세아문화사, 1978)

  • - 「창강 김택영연구」(최혜주, 『한국사연구』35, 1981)

  • - 「김택영전집해제」(백순재, 『김택영전집』1, 아세아문화사, 1978)

본 항목의 내용은 해당 분야 전문가의 추천으로 선정된 집필자의 학술적 견해로, 한국학중앙연구원의 공식 입장과 다를 수 있습니다.

  • 사실과 다른 내용, 주관적 서술 문제 등이 제기된 경우 사실 확인 및 보완 등을 위해 해당 항목 서비스가 임시 중단될 수 있습니다.
  • 한국민족문화대백과사전은 공공저작물로서 공공누리 제도에 따라 이용 가능합니다.
  • 백과사전 내용 중 글을 인용하고자 할 때는 '[출처 : 항목명 - 한국민족문화대백과사전]'과 같이 출처 표기를 하여야 합니다.
  • 미디어 자료는 자유 이용 가능한 자료에 개별적으로 공공누리 표시를 부착하고 있으므로 이를 확인하신 후 이용하시기 바랍니다.
콘텐츠 이용 안내

콘텐츠 수정 요청

필수 입력 항목입니다.

주제
0 / 500자
근거 자료
첨부된 파일이 없습니다
파일선택

최대 5개, 전체 용량 30Mb 첨부 가능

작성 완료되었습니다.

작성글 확인

다운로드가 완료되었습니다.

다운로드할 미디어를 선택해주세요.

모든 필수 항목을 입력해주세요.

다운로드할 미디어가 선택되지 않았습니다.

다운로드 중 오류가 발생했습니다.

미디어 다운로드

  • 이용 목적을 상세히 작성하여 주세요.
    서비스 개선에 반영하도록 하겠습니다.

출처 표기 : [사진명] 한국민족문화대백과사전

필수 입력 항목입니다.

이용목적