회봉유고

  • 종교·철학
  • 문헌
  • 현대
1963년, 조선 후기부터 해방 이후까지 생존한 학자 안규용의 시와 산문을 엮어 간행한 시문집.
문헌/고서
  • 간행 시기1963년
  • 권수제회봉유고(晦峯遺稿)
  • 권책수14권 7책
  • 소장처국립중앙도서관|원광대학교 도서관
  • 저자안규용(安圭容)
  • 저자 출생연도1873년
  • 판본연활자본
  • 표제회봉유고(晦峯遺稿)
집필 및 수정
  • 집필 2024년
  • 정하정 (계명대학교 한문교육과)
  • 최종수정 2025년 11월 25일
회봉유고 미디어 정보

회봉유고

본 항목의 내용은 해당 분야 전문가의 추천으로 선정된 집필자의 학술적 견해로, 한국학중앙연구원의 공식 입장과 다를 수 있습니다.

내용 요약

『회봉유고』는 1963년 조선 후기부터 해방 이후까지 생존한 학자 안규용의 시와 산문을 엮어 간행한 시문집이다. 본집 10권과 속집 2권, 이후 부록까지 더해진 총 12권 6책의 연활자본이다. 시 414수와 서간 353편을 중심으로 부·잡저·제문·행장 등 다양한 글이 수록되어 있으며, 특히 국운 쇠퇴에 대한 비감, 존화양이 정신, 금강산 기행 등에서 시대적 정서와 민족적 의식을 엿볼 수 있다. 스승 송병선·송병순과의 학문 교류, 선비의 도리를 논한 산문들, 의병 활동 기록 등은 그의 성리학적 신념과 애국적 의지를 잘 보여 준다.

정의

1963년, 조선 후기부터 해방 이후까지 생존한 학자 안규용의 시와 산문을 엮어 간행한 시문집.

저자 및 편자

안규용(安圭容: 1873~1959)의 본관은 죽산(竹山[新])이며, 호는 회봉(晦峰)이다. 송병선(宋秉璿), 송병순(宋秉珣)을 스승으로 모셨고, 죽곡정사(竹谷精舍)를 짓고 강학하며 지냈다.

서지사항

12권 6책[본집 10권 5책, 속집 2권 1책]의 연활자본이다. 서문은 없고 5책의 권말에 1961년 송재식의 발문이 있으며, 본집과 속집 외 1974년에 간행한 2권 1책의 부록이 따로 있다. 국립중앙도서관, 원광대학교 도서관 등에 소장되어 있다.

편찬 및 간행 경위

안규용이 평소 강학을 하였던 죽곡정사의 사우들이 편집하여 1963년에 죽곡정사에서 간행하였다.

구성과 내용

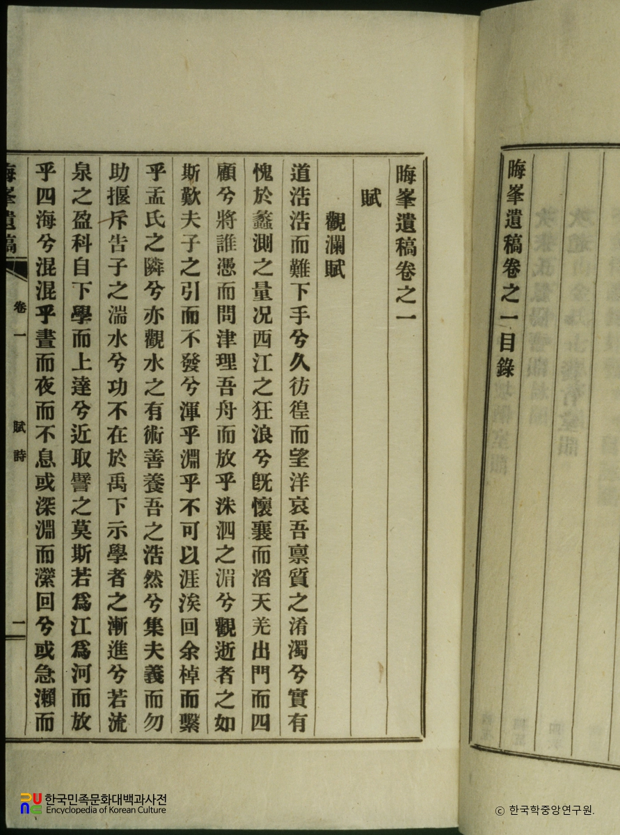
본집은 권1에 시 267수, 부(賦) 1편, 권2~4에 서(書) 203편, 권5~7에 잡저 26편, 서(序) 14편, 기(記) 24편, 발(跋) 12편, 명(銘) 3편, 혼서(婚書) 4편, 상량문 3편, 축문 8편, 제문 23편, 비(碑) 6편, 권8~10에 묘갈명 15편, 묘지명 3편, 묘표 46편, 행장 19편이 수록되어 있다. 별집은 권1·2에 시 147수, 서(書) 150편, 잡저 5편, 축문 2편이 수록되어 있다.

는 「관란부(觀瀾賦)」로 쉬지 않는 도체를 쉼 없이 흐르는 물에 비유한 주희(朱熹)의 「관란사(觀瀾詞)」를 본떠 지은 작품이다.

는 오언절구, 오언율시, 칠언절구, 칠언율시, 잡언고시 형식이 분류되지 않은 채 편차되어 있다. 시에는 국운의 쇠퇴에 대해 비분강개하는 마음을 담은 것이 많다. 「술회(述懷)」, 「우음(偶吟)」은 불안한 국가의 장래와 무력한 자신의 처지를 개탄한 것이다. 「논개비(論介碑)」 역시 논개가 여자의 몸으로 나라를 위해 공을 세웠음을 생각하며 자신의 처지를 한탄한 것이다. 「만동묘조제(萬東廟助祭)」나 「존화계강회(尊華契講會)」와 같이 존화양이(尊華攘夷)의 의리를 표현한 시들도 다수이다. 그 외 기행시도 있는데, 대표적으로 「유금강산(遊金剛山)」은 장안사(長安寺), 명경대(明鏡臺), 정양사(正陽寺), 만폭동(萬瀑洞) 등의 금강산 명소를 소재로 하여 그 수려한 경치를 사실감 있게 묘사하였다.

서(書)는 스승 송병선 형제를 비롯해 최익현(崔益鉉), 윤용구(尹用求), 정석채(鄭奭采) 등과 주고받은 편지들로, 학문에 대해 질의응답하거나 가르침을 청하는 내용이 많다.

잡저는 선비의 근본과 학문의 원리를 밝혀 명덕(明德)이야말로 선비가 행해야 할 바임을 강조한 「사천설(事天說)」, 「사설(士說)」, 「명덕설(明德說)」을 비롯하여 자신의 어머니가 선비족에게 잡혔음에도 적을 물리쳐 어머니가 살해되도록 하였던 조포(趙苞)에 대해 논한 「조포사사의(趙苞事私議)」, 나무를 본성을 기르는 법을 통해 마음을 수양하는 방법을 논설한 「산목설(山木說)」 등 논변류 산문이 다수이다. 또 구한말 의병장 안규홍(安圭洪)의 사적을 기록한 「기안의사규홍사적(記安義士圭洪事蹟)」은 일제강점기라는 시대적 배경을 반영한 작품이다.

서(序)는 미국계(薇菊契), 존성계(尊聖契) 등의 계안(契案)에 대한 서문과 『과암유고(果庵遺稿)』, 『우헌유고(愚軒遺稿)』 등의 서책에 대한 서문들이 있다. 제문은 송병선 형제를 비롯하여 안성환(安成煥), 이홍래(李鴻來) 등에 대한 것이며, 행장은 정길(鄭佶), 박유효(朴惟孝), 염복현(廉復鉉) 등의 것이다.

참고문헌

  • 원전

  • - 『회봉유고(晦峯遺稿)』

  • 논문

  • - 이향배, 「회봉 안규용의 시문학 연구」(『역사학연구』 56, 호남사학회, 2014)

  • - 최영성, 「회봉 안규용의 춘추정신과 의리사상」(『역사학연구』 56, 호남사학회, 2014)

  • 인터넷 자료

  • - [국립중앙도서관](https://www.nl.go.kr)

  • - [한국역대인물 종합정보시스템](http://people.aks.ac.kr)

  • - [한국학종합DB](https://db.mkstudy.com)

본 항목의 내용은 해당 분야 전문가의 추천으로 선정된 집필자의 학술적 견해로, 한국학중앙연구원의 공식 입장과 다를 수 있습니다.

  • 사실과 다른 내용, 주관적 서술 문제 등이 제기된 경우 사실 확인 및 보완 등을 위해 해당 항목 서비스가 임시 중단될 수 있습니다.
  • 한국민족문화대백과사전은 공공저작물로서 공공누리 제도에 따라 이용 가능합니다.
  • 백과사전 내용 중 글을 인용하고자 할 때는 '[출처 : 항목명 - 한국민족문화대백과사전]'과 같이 출처 표기를 하여야 합니다.
  • 미디어 자료는 자유 이용 가능한 자료에 개별적으로 공공누리 표시를 부착하고 있으므로 이를 확인하신 후 이용하시기 바랍니다.
콘텐츠 이용 안내

콘텐츠 수정 요청

필수 입력 항목입니다.

주제
0 / 500자
근거 자료
첨부된 파일이 없습니다
파일선택

최대 5개, 전체 용량 30Mb 첨부 가능

작성 완료되었습니다.

작성글 확인

다운로드가 완료되었습니다.

다운로드할 미디어를 선택해주세요.

모든 필수 항목을 입력해주세요.

다운로드할 미디어가 선택되지 않았습니다.

다운로드 중 오류가 발생했습니다.

미디어 다운로드

  • 이용 목적을 상세히 작성하여 주세요.
    서비스 개선에 반영하도록 하겠습니다.

출처 표기 : [사진명] 한국민족문화대백과사전

필수 입력 항목입니다.

이용목적